Introducción:
En primer lugar, es importante indicar que propiamente en la normativa costarricense no se encuentran ecuaciones directas para poder representar el FED, razón por la cual se desprende este estudio para lograr darle forma correcta y apropiada a lo que en el Código Sísmico y el documento de Comentarios al Código Sísmico de Costa Rica han omitido indicarle a los profesionales, obligando a tener que consultar tablas de valores numéricos para cada tipo de zona, sitio de cimentación y ductilidad, cuando directamente podrían otorgarle al profesional diseñador un juego de ecuaciones que le permita graficar el FED(T) y Espectro de diseño directamente.
El suscrito, en conjunto con el ingeniero costarricense Gustavo Gómez Ocampo nos hemos dado la tarea de resolver esta problemática, a fin de mejorar el entendimiento académico y profesional de la Acción Sísmica en Costa Rica.
Zonificación:
Costa Rica esta dividida en tres zonas (Zona II, Zona III y Zona IV), según se nuestra a continuación:






Sitios de cimentación:
El sitio de cimentación es el lugar de emplazamiento de una edificación para efectos de considerar las condiciones dinámicas del sitio en la demanda sísmica. En ausencia de estudios más refinados de amplificación dinámica, se establece la clasificación de los sitios de cimentación con base en las propiedades de los parámetros indicados en la tabla 2.2, calculados como promedio en los 30 m superficiales, y en la descripción siguiente:
- Sitio Tipo S1:
Un perfil de roca o suelo rígido o denso con propiedades semejantes a la roca.
- Sitio Tipo S2:
Un perfil de suelo con condiciones predominantes de medianamente denso a denso o de medianamente rígido a rígido.
- Sitio Tipo S3:
Un perfil de suelo con 6 a 12 m de arcilla de consistencia de suave a medianamente rígida o con más de 6 m de suelos no cohesivos de poca o media densidad.
- Sitio Tipo S4:
Un perfil de suelo que contenga un estrato de más de 12 m de arcilla suave.

En relación con lo anterior, es importante definir una serie de constantes y variables para poder calcular cada criterio de asignación en función del tiempo y asignar valores frontera de dichos periodos, entre ellas Ca, Cv, αa, αv, αd y otras que se detallan a continuación y visualizando las distintas combinaciones entre zona y sitio de cimentación:
Valores para construcción de espectros:

Además de lo anterior, para el caso de periodos en la construcción de espectros inelásticos, se deben estimar otra serie de factores y coeficientes cono se indica a continuación y tomando como base una amortiguación del 5%.
Factores de ajuste y coeficientes espectrales:

Para el caso del periodo frontero para FED elástico (μ =1) se debe usar Tc y Td, pero para el periodo frontera de FED inelásticos (μ =2, μ =3, μ =4 y μ =6) se debe usar Tc’ y Td’ cono se nuestra a continuación. Tanto para FED elástico cono inelásticos el valor de Ta y Tb son los mismos.
La ductilidad debe definirse según el tipo de sistema estructural como sigue:

Variaciones en los periodos Tc y Td para construcciones de espectros inelásticos:

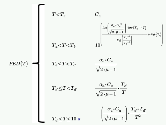
Seguidamente, es posible definir los criterios de asignación de cada uno de ese rango de periodo construyendo una ecuación multiforme como se nuestra:

Finalmente, al aplicar la función multiforme de tiene el FED especifico, este FED varía según la zonificación y tipo de sitio de cimentación a través de las variaciones.
Representación multiforme de los criterios de asignación del FED:

ESPECTRO DE DISEÑO:
Para efectos de estimar los espectros de diseño, es importante introducir el concepto de aceleración pico efectivo, factor de importancia y sobre resistencia como se indica a continuación:
- Aceleración pico efectiva:
De igual manera, cruzando la zona con el tipo de sitio, se pueden obtener rápidamente el valor de aceleración pico efectiva de diseño:

2. Factor de importancia:
El código clasifica las estructuras en 5 grupos:

3. Sobrerresistencia:
SR = factor de sobrerresistencia según se define en el artículo. Cuando se utilizan los métodos de análisis estático o dinámico de los artículos 7.4 y 7.5, la sobrerresistencia es igual a 2.0 para estructuras tipo marco, dual y muro, e igual a 1.2 para estructuras tipo voladizo y otros. (Esto aplica para método estático y dinámico)
4. Coeficiente Sísmico:

Básicamente, el espectro de diseño es directamente proporcional a la función multiforme de FED elástico o inelástico, al factor de importancia, a la aceleración e inversamente proporcional a la sobrerresistencia.
Es importante indicar que la ductilidad está implícita en la función de FED(T) por lo tanto no se debe dividir entre μ, pues el FED(T) es por ductilidad reducida.
Finalmente se procede a graficar:

Aprende este contenido y mucho más en nuestros programas de formación:


